CHITOSAN OLIGOSACCHARIDE LACTATE CAS#148411-57-8
CAS Number: 148411-57-8
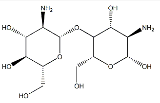
Chemical Formula: C12H24N2O9
Synonyms:
Chitosan Olibosaccharide
Chitosan oligosaccharide,chito-oligosaccharide
CHITOSAN OLIGOSACCHARIDE LACTATE
MOQ (Minimum Order Quantity): 1 FCL (Full Container Load)
Appearance: Yellow Powder
CHITOSAN OLIGOSACCHARIDE LACTATE CAS#148411-57-8
Beta-D-glucosaminyl-(1->4)-beta-D-glucosamine is a beta-D-glucosaminyl-(1->4)-D-glucosamine having beta-configuration at the reducing end anomeric centre.
CHITOSAN OLIGOSACCHARIDE LACTATE Chemical Properties |
storage temp. | Store at RT |
form | Solid |
color | Light yellow to yellow |
Water Solubility | Water : 50 mg/mL ;DMSO : 50 mg/mL |
InChI | InChI=1/C12H24N2O9/c13-5-9(19)10(4(2-16)21-11(5)20)23-12-6(14)8(18)7(17)3(1-15)22-12/h3-12,15-20H,1-2,13-14H2/t3-,4-,5-,6-,7-,8-,9-,10,11-,12+/s3 |
InChIKey | QLTSDROPCWIKKY-OIYXGHAUNA-N |
SMILES | O1[C@@H](OC2[C@H](O)[C@@H](N)[C@H](O)O[C@@H]2CO)[C@H](N)[C@@H](O)[C@H](O)[C@H]1CO |&1:1,4,6,8,11,14,16,18,20,r| |
Safety Information |
WGK Germany | 3 |
Storage Class | 11 - Combustible Solids |
Product Application of CHITOSAN OLIGOSACCHARIDE LACTATE CAS#148411-57-8
Chitosan oligosaccharide lactate may be used in water treatment for organic and heavy metal pollutants, biomedical devices, biodegradable packaging, textile finishing for water permeable fabrics, cosmetics.
Fact Factory and Equipment Show
Fast delivery time
Inventory 2-3 working days New production 7-10 working days


